
被扔掉的那一刻,有些垃圾的故事就结束了。
塑料袋被风卷进树梢,易拉罐滚进水沟,外卖盒堆在垃圾桶旁。我们偶尔会想起它们,在看到某张触目惊心的污染照片时皱一下眉头,然后继续刷手机。
但有一种垃圾不一样。它太小了,小到你低头都不一定能注意到。它太轻了,轻到一阵风就能把它吹跑。它太常见了,常见到已经成了城市地面的一部分,就像落叶或灰尘一样理所当然。
烟蒂。
全球每年大约有四万五千亿根烟蒂被扔进环境。这个数字有点大,所以换一种说法,你正在阅读这句话的2秒钟里,全世界又有近30万根烟蒂落地。在某些城市的街角,每平方米地面上能找到130根。在某些海滩上,每100米就能捡到1600根。政府清理,志愿者捡拾,环保组织呼吁,但烟蒂似乎永远捡不完。
然后呢?烟蒂落地之后去了哪里?它会分解吗?需要多久?会发生什么变化?若干年之后它还在吗?
2015年,意大利那不勒斯费德里科二世大学的生态学研究者Giuliano Bonanomi等人想去找找答案。
研究方法很笨拙,把烟蒂埋进土里,然后等十年。

烟蒂,都是烟蒂|参考文献1
一根烟蒂多久能烂掉?
在讲述这十年发生了什么之前,需要先纠正一个可能的误解。
大多数人以为烟蒂的滤嘴是棉花或纸做的,甚至很多吸烟者也这么认为,他们把烟蒂弹落在地上时,心里觉得“反正也会烂掉”。
不会的。
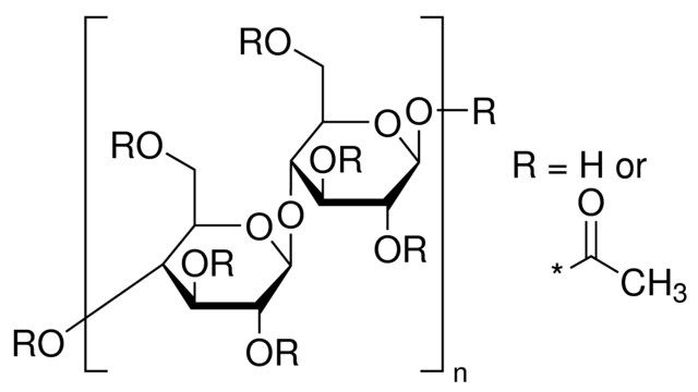
烟蒂滤嘴的主要材料叫醋酸纤维素(Cellulose acetate)。名字里虽然带“纤维素”三个字,但它是一种货真价实的塑料。原本来自植物的天然纤维素在工厂里经过化学处理,每个葡萄糖单元上的羟基被乙酰基取代,大约三个里面换掉两个半。这个过程叫乙酰化,它赋予了材料优异的过滤性能,也让它变得异常顽固。每一个滤嘴里,紧密排列着大约一万五千根这种塑料微纤维。

醋酸纤维素的重复单元结构式,其中R代表乙酰基或氢|sigma-aldrich.cnreagent.com
更关键的是,这团塑料纤维不是干净的。吸烟的过程中,烟气穿过滤嘴,焦油、尼古丁、重金属、多环芳烃、苯、甲醛、丙烯腈……上千种化学物质被截留在纤维之间。一根抽完的烟蒂,本质上是一颗浸满了毒液的微型塑料海绵。
遇到雨水,海绵里的东西就会渗出来。
所以当Bonanomi的团队准备这场实验时,提出的“多久能烂掉”的问题,其实指的是一种强韧的、裹挟着上千种化合物塑料纤维,在微生物、水、阳光和时间的共同作用下,如何缓慢地、不可预测地发生变化。
他们一共准备了一万两千根烟蒂,分成五组,放置在五种环境里,包括实验室无土壤、实验室草地土壤、实验室沙丘土壤、野外沙丘、野外草地。每隔一段时间取出一批,称重、化验、在显微镜下观察、做毒理测试、分析微生物群落、检测挥发性气体。
第一个月,烟蒂“一生”中毒性最强的时刻
实验开始后的头三十天,所有环境中的烟蒂都迅速减轻了大约20%的重量。这段数据让人乐观,照这个速度,似乎用不了多久烟蒂就能消失。
但这是一个错觉。失去的那20%,几乎全部来自烟蒂最外层,也就是包裹滤嘴的那层薄纸,以及纤维表面容易溶解的化学物质。薄纸是普通纤维素,很多微生物都能将其轻松拿捏。尼古丁等小分子化合物则被水冲走或被微生物迅速代谢。
这就像一颗药丸掉进了水杯,糖衣几秒钟就化了,但糖衣下面那颗硬邦邦的药芯可能纹丝不动。
与此同时,研究者用质谱仪检测了烟蒂释放到空气中的挥发性物质,一共识别出了336种化合物信号。苯、甲醛、甲苯、丙烯腈、1,3-丁二烯、异戊二烯、尼古丁……在检测图谱上,新鲜烟蒂对应的那一列几乎全是深色,每一种化合物都处于高浓度释放状态。
这是烟蒂“一生”中毒性最强的时刻。它刚被扔下,外衣还没脱完,就忙不迭得向周围释放它的收藏。
漫长沉默,烟蒂好像进入了某种休眠
从第二个月到第二年年底,曲线变成了一条近乎水平的线。
所有环境中的烟蒂,在这将近两年里只又多损失了约10%到15%的重量。无论是埋在肥沃的公园草地下面,还是躺在贫瘠的海边沙丘上,还是被隔绝在实验室的托盘里不接触土壤,都没区别,分解速度都一样慢。
烟蒂好像进入了某种休眠。
研究团队推测了两个原因,像两把锁互相咬合,把烟蒂锁在了“不可降解”状态。
一是乙酰基。醋酸纤维素之所以被选做滤嘴材料,正是因为它足够致密、足够稳定。纤维素链上密密麻麻的乙酰基团像一层化学铠甲,挡住了微生物分泌的酶。要想降解这种材料,微生物必须先把乙酰基团一个个拆掉,把铠甲卸下来,才能碰到里面的纤维素。但这个“去乙酰化”的过程,在自然条件下极其缓慢。
二是氮。新鲜烟蒂的碳氮比高达192,这意味着每192份碳才对应1份氮。而微生物要正常工作需要更多的氮。氮是合成蛋白质和酶的必需元素,没有它,微生物就算“看到”了可以吃的纤维素,也没有能力制造足够的酶去分解它。
铠甲太厚,而攻城的士兵又吃不饱。两把锁互相加固,乙酰基挡住了酶,氮的匮乏让微生物无力生产酶。
微生物无事可做,烟蒂无事发生,月复一月。
大地,拆去了烟蒂的“铠甲”
从第三年开始,沉默被打破了。
那些埋在草地的烟蒂,开始起了变化。研究者注意到一个持续的趋势,草地土壤中的烟蒂,氮含量在稳步上升。碳氮比从192一路下降,逐渐进入了微生物可以高效工作的范围。
氮从哪里来?从土壤里来。
自然界落叶分解时,真菌会将菌丝伸入落叶中,把土壤中的氮顺着菌丝输送到落叶里,供自己和其他微生物使用,就像一个微型的地下管网。

真菌会将菌丝伸入落叶中,把土壤中的氮顺着菌丝输送到落叶里丨图虫创意
同样的事情发生在了烟蒂身上。草地土壤里的真菌网络“认出”了烟蒂是一种含碳的有机基质,虽然是一种极不寻常的、被塑料铠甲包裹的有机基质。它们将菌丝伸入烟蒂纤维之间的缝隙,开始从土壤中向烟蒂输送氮。
当氮的锁被打开,事情开始加速。到第五年,草地土壤中的烟蒂质量损失达到了81%。核磁共振分析显示,不仅乙酰基团被大量去除,纤维素本身也在被大规模降解。显微观察下,原本整齐排列的纤维已经变得模糊不清,取而代之的是一种无定形的有机基质,混杂着微生物代谢的痕迹。
而同一时间,在实验室里不接触任何土壤的烟蒂,只损失了大约50%的质量,它们的乙酰基团也几乎被完全去除了,但在微观中纤维结构依然清晰可辨,和新鲜烟蒂几乎没有区别。
铠甲拆了,但没有人来进攻。因为没有土壤提供氮,微生物始终吃不饱,无法发动对裸露纤维素的全面攻击。它们完成了去乙酰化这一步,然后就停在了那里。
同样的烟蒂,同样的十年。一边有大地滋养,被真菌网络接纳,被微生物群落一棒接一棒地分解;另一边孤孤单单,没有土壤,没有氮源,铠甲被拆了但纤维素依然完好,像一座被攻破了城墙却空无一人的城池。
现实中,绝大多数烟蒂的命运更接近后者。它们落在柏油路,卡在路砖缝,冲进下水道,飘到海滩上。那些地方没有肥沃的草地土壤,没有真菌网络,没有人给它们送氮。
就那样躺着,年复一年。

烟蒂在不同环境中的变化|参考文献1
毒性的反转,时间越长没有越安全
但这不只是一个关于“塑料降解很慢”的老故事,研究者们还发现了一些更令人不安的东西。
在这十年间,他们定期取出烟蒂样本,将其浸泡在水中制成浸出液,然后用五种不同的生物来测试这些浸出液的毒性,包括发光细菌、绿藻、水蚤、水螅、高粱。
五种生物,五种不同的生命形式,从微生物到植物到无脊椎动物。
直觉告诉我们,烟蒂的毒性应该随着时间推移而持续下降。毕竟尼古丁会被冲走,挥发性物质会散逸,有毒化合物会被微生物分解。时间越长,似乎应该越安全。
头几个月的数据确实如此。新鲜烟蒂的毒性最高,尤其是对发光细菌和水蚤,几乎达到了让一半测试生物死亡或丧失功能的浓度。随着分解进行,尼古丁和其他可溶性毒物被快速释放和降解,毒性在前半年内急剧下降。
然后分解进行到中期的时候,毒性曲线改变了趋势。
它回升了。
在对藻类的毒性分析中,出现了一个清晰的第二毒性高峰,虽然达不到最初的峰值,但确实存在五年左右重新攀升。

经过时间洗礼的部分烟头,对水藻的生长抑制作用却更高一点点|参考文献1
这是因为一些顽固的有毒化合物难以被微生物分解,比如吡啶衍生物、某些塑料相关的短链化合物,它们随着分解过程而逐渐累计,随着烟蒂的总质量减小,这些残留的毒物在剩余基质中的浓度反而升高了。
这就像拧一块浸满脏水的海绵。一开始拧出来的水最多、最脏。但当海绵越拧越小,最后那几滴挤出来的反而是渗透最深、最难去除的污渍。
十年之后呢?毒性确实又降低了,但并没有降到零。
十年,三千六百天。经历了完全的去乙酰化,经历了大规模的纤维素降解,经历了微生物群落的数次更迭。一根烟蒂的浸出液,对某些测试生物仍然表现出可以被统计学检测到的毒性效应。与完全不含烟蒂浸出液的对照组相比,差异依然显著。
十年,还不够让一根烟蒂变得无害。
变形,以更隐蔽的污染形态嵌入土壤
最后一次取样是在第3600天。
当研究者把在草地土壤中埋了十年的烟蒂放到显微镜下时,他们看到了一种从未被描述过的东西。
那些纤维变形了。原本直径15到25微米的醋酸纤维素纤维,现在完全卷曲、折叠,彼此紧紧压实在一起,形成了一个个规则的球形结构。每个球体的直径大约6微米。它们的表面覆盖着一层碳酸钙,钙离子来自土壤之中。在元素分析中,这些球体呈现出有机物与矿物质交织的信号,碳、氧、钙的分布彼此重叠。
研究者称它们为“球粒体(Spherulites)”。

球粒体的微观图像|参考文献1
这是一种前所未见的结构。烟蒂的塑料纤维没有被彻底矿化为二氧化碳和水,而是在微生物的分解作用和土壤矿物质的参与下,被重新组装成了一种紧密的有机-矿物复合体。
球粒体在形态上很像土壤中的一些混合物,但它们不是土壤,它们是塑料。
更准确地说,它们是一种新型的微塑料,是由生物降解和矿物化学作用共同塑造的、具有规则形态的二次微塑料。直径6微米,比原始纤维更小,结构更致密,而且被碳酸钙包裹着,可能比裸露的塑料纤维更难被进一步降解。
烟蒂没有消失,它变形了,以一种我们此前完全不知道的方式嵌入了土壤。
我们一直在讨论微塑料污染,海洋里的、河流里的、饮用水里的,但这里揭示的是一种不同的路径。
一根烟蒂在土壤中被微生物“消化”了十年,质量减少了84%,看起来几乎“降解”了。但剩下的16%没有变成无害的二氧化碳和水,而是变成了一种全新的、更隐蔽的污染形态,与土壤基质紧密结合,可能极难被检测、被分离、被清除。
大地把烟蒂吞了下去,包裹起来藏在了自己体内。
尾声,克制但有力的结论
2026年春天,这项历时十年的研究结果终于发表在《环境污染》(Environmental Pollution)期刊上。论文的作者列表很长,横跨意大利、摩洛哥、沙特阿拉伯的多个研究机构。
追踪一根烟蒂的命运,需要的时间之长远超出一个人或一个实验室的能力范围。
论文的结论很克制,但每一条都指向同一个方向,烟蒂污染是一个动态的、持续演变的过程,它的化学成分在变,微生物群落在变,毒性在变,物理形态在变。
它是一个正在进行中的化学反应器,一个缓慢释放毒物的源头,一个最终会以意想不到的方式融入土壤的异物。
这还是在最好的情况下,有肥沃的土壤,有活跃的微生物群落,有充足的氮源,有十年的时间。
现实中,大多数烟蒂没有这样的待遇。柏油路、行道砖、下水道、沙滩,那些地方,没有土壤里的真菌网络输送氮,没有丰富的微生物群落接力分解。它们更接近实验中那组“没有土壤”样本,纤维素将长久保持原样,毒物缓慢持续地渗出。
在你读完这篇文章的这几分钟里,全世界又有两千万根烟蒂被弹落在地上。
每一根,都刚刚开始它的十年。
参考文献
[1]Bonanomi, G., et al. (2026). Long-term cigarette butts’ decomposition over 10 years reveals multi-stage microbial, chemical, and toxicological transformations. Environmental Pollution, 397, 127944.
[2]Green, D. S., Tongue, A. D. W., & Boots, B. (2022). The ecological impacts of discarded cigarette butts. Trends in Ecology & Evolution, 37, 501–509.
[3]Bonanomi, G., Incerti, G., Cesarano, G., Gaglione, S. A., & Lanzotti, V. (2015). Cigarette butt decomposition and associated chemical changes assessed by 13C CPMAS NMR. PLOS ONE, 10, e0117393.
[4]Bonanomi, G., Maisto, G., De Marco, A., Cesarano, G., Zotti, M., Mazzei, P., Libralato, G., Staropoli, A., Siciliano, A., De Filippis, F., La Storia, A., Piccolo, A., Vinale, F., Crasto, A., Guida, M., Ercolini, D., & Incerti, G. (2020). The fate of cigarette butts in different environments: decay rate, chemical changes and ecotoxicity revealed by a 5-years decomposition experiment. Environmental Pollution, 261, 114108.
作者:圆的方块
编辑: 黎小球
封面图来源:Nano Banana 2
本文来自果壳,未经授权不得转载.
倍顺网配资提示:文章来自网络,不代表本站观点。